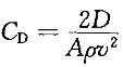
长500m,直径20mm的电缆线,在风速为22m/s的大风中所受绕流阻力D = 3821N,空气密度ρ=1. 29kg/m3,则其绕流阻力系数CD为:...

作者: rantiku 人气: - 评论: 0
问题 长500m,直径20mm的电缆线,在风速为22m/s的大风中所受绕流阻力D = 3821N,空气密度ρ=1. 29kg/m3,则其绕流阻力系数CD为: A. 1. 41 B. 1. 22 C. 1. 62 D. 1. 01
选项
答案 B
解析 提示:

猜你喜欢

发表评论
更多 网友评论0 条评论)
暂无评论

访问排行

Copyright © 2012-2014 恰考网 Inc. 保留所有权利。 Powered by tikuer.com

页面耗时0.0347秒, 内存占用1.03 MB, Cache:redis,访问数据库17次