半径为R、质量为m的均质圆轮沿斜面做纯滾动如图所示。已知轮心C的速度为v、加速度为a,则该轮的动能为:

作者: rantiku 人气: - 评论: 0
问题 半径为R、质量为m的均质圆轮沿斜面做纯滾动如图所示。已知轮心C的速度为v、加速度为a,则该轮的动能为:
选项
答案 C
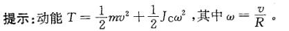
解析

猜你喜欢

发表评论
更多 网友评论0 条评论)
暂无评论

访问排行

Copyright © 2012-2014 恰考网 Inc. 保留所有权利。 Powered by tikuer.com

页面耗时0.0628秒, 内存占用1.03 MB, Cache:redis,访问数据库19次