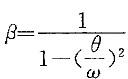
图示体系的自振频率为,其稳态最大动力弯矩幅值为:A. 3Pl B. 4. 5Pl C. 8. 54Pl D. 2Pl

作者: rantiku 人气: - 评论: 0
问题 图示体系的自振频率为,其稳态最大动力弯矩幅值为: A. 3Pl B. 4. 5Pl C. 8. 54Pl D. 2Pl
选项
答案 A
解析 提示:先求动力系数

猜你喜欢

发表评论
更多 网友评论0 条评论)
暂无评论

访问排行

Copyright © 2012-2014 恰考网 Inc. 保留所有权利。 Powered by tikuer.com

页面耗时0.0450秒, 内存占用1.03 MB, Cache:redis,访问数据库20次