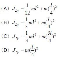
匀质杆AB 长l ,质量为m,质心为C。点D 距点A 为1/4,杆对通过点D 且垂直于AB 的轴y 的转动惯量为:

作者: rantiku 人气: - 评论: 0
问题 匀质杆AB 长l ,质量为m,质心为C。点D 距点A 为1/4,杆对通过点D 且垂直于AB 的轴y 的转动惯量为:
选项
答案 A
解析 转动惯量,又称惯性矩(俗称惯性力距、易与力矩混淆),通常以 I 表示,SI 单位为 kg * m2,可说是一个物体对于旋转运动的惯性。对于一个质点,I = mr2,其中 m 是其质量,r 是质点和转轴的垂直距离。

猜你喜欢

发表评论
更多 网友评论0 条评论)
暂无评论

访问排行

Copyright © 2012-2014 恰考网 Inc. 保留所有权利。 Powered by tikuer.com

页面耗时0.0464秒, 内存占用1.03 MB, Cache:redis,访问数据库19次