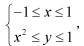
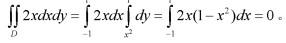
设D是曲线y=x2与y=1所围闭区域,等于:(A)1 (B) (C)0 (D)2

作者: rantiku 人气: - 评论: 0
问题 设D是曲线y=x2与y=1所围闭区域,等于: (A)1 (B) (C)0 (D)2
选项
答案 C
解析 积分区域D表示为:

猜你喜欢

发表评论
更多 网友评论0 条评论)
暂无评论

访问排行

Copyright © 2012-2014 恰考网 Inc. 保留所有权利。 Powered by tikuer.com

页面耗时0.0352秒, 内存占用1.03 MB, Cache:redis,访问数据库19次