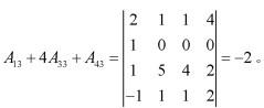
设行列式Aij表示行列式元素aij的代数余子式,则A13+4A33+A43等于:(A)-2 (B)2 (C)-1 (D)1

作者: rantiku 人气: - 评论: 0
问题 设行列式Aij表示行列式元素aij的代数余子式,则A13+4A33+A43等于: (A)-2 (B)2 (C)-1 (D)1
选项
答案 A
解析 此题有技巧,把第3列换成1,0,4,1,则

猜你喜欢

发表评论
更多 网友评论0 条评论)
暂无评论

访问排行

Copyright © 2012-2014 恰考网 Inc. 保留所有权利。 Powered by tikuer.com

页面耗时0.0305秒, 内存占用1.03 MB, Cache:redis,访问数据库19次