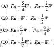
水平梁AB由铰A与杆BD支撑,在梁上O处用小轴安装滑轮。轮上跨过软绳,绳一端水平系与墙上,另端悬挂重W的物块,构件均不计重,铰A的约束力大小为:

作者: rantiku 人气: - 评论: 0
问题 水平梁AB由铰A与杆BD支撑,在梁上O处用小轴安装滑轮。轮上跨过软绳,绳一端水平系与墙上,另端悬挂重W的物块,构件均不计重,铰A的约束力大小为:
选项
答案 A
解析

猜你喜欢

发表评论
更多 网友评论0 条评论)
暂无评论

访问排行

Copyright © 2012-2014 恰考网 Inc. 保留所有权利。 Powered by tikuer.com

页面耗时0.0420秒, 内存占用1.03 MB, Cache:redis,访问数据库19次