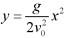
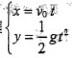
点在铅垂平面Oxy内的运动方程式中t为时间,v0,g为常数,点的运动轨迹应为:(A)直线(B)圆(C)抛物线(D)直线与圆连接

作者: rantiku 人气: - 评论: 0
问题 点在铅垂平面Oxy内的运动方程式中t为时间,v0,g为常数,点的运动轨迹应为: (A)直线 (B)圆 (C)抛物线 (D)直线与圆连接
选项
答案 C
解析 由题意知,,为抛物线

猜你喜欢

发表评论
更多 网友评论0 条评论)
暂无评论

访问排行

Copyright © 2012-2014 恰考网 Inc. 保留所有权利。 Powered by tikuer.com

页面耗时0.0305秒, 内存占用1.03 MB, Cache:redis,访问数据库19次