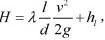
两水箱水位恒定,水面高差H=10m,管道直径d=10cm,总长度l=20m,沿程阻力系数λ=0.042,已知所有的转弯、阀门、进、出口局部水头损失合计为:...

作者: rantiku 人气: - 评论: 0
问题 两水箱水位恒定,水面高差H=10m,管道直径d=10cm,总长度l=20m,沿程阻力系数λ=0.042,已知所有的转弯、阀门、进、出口局部水头损失合计为:hi=3.2m.则通过管道的平均流速为: (A)3.98m/s(B)4.83m/s(C)2.73m/s(D)15.8m/s
选项
答案 A
解析 水面差H即为克服沿程阻力和局部阻力的阻力损失。阻力损失

猜你喜欢

发表评论
更多 网友评论0 条评论)
暂无评论

访问排行

Copyright © 2012-2014 恰考网 Inc. 保留所有权利。 Powered by tikuer.com

页面耗时0.0361秒, 内存占用1.03 MB, Cache:redis,访问数据库20次