某受压灌注桩桩径为1.2m,桩端入土深度20m,桩身配筋率0.6%,桩顶铰接,桩顶竖向压力设计值N= 5000kN,桩的水平变形系数α=0.301-1桩身...

作者: rantiku 人气: - 评论: 0
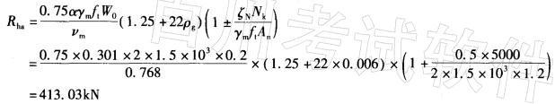
问题 某受压灌注桩桩径为1.2m,桩端入土深度20m,桩身配筋率0.6%,桩顶铰接,桩顶竖向压力设计值N= 5000kN,桩的水平变形系数α=0.301-1桩身换算截面积An= 1.2m2,换算截面受拉边缘的截面模量W0=0.2m2,桩身混凝土抗拉强度设计值ft=1. 5N/mm2,试按《建筑桩基技术规范》(JGJ 94-2008)计算单桩水平承载力设计值,其值最接近( )kN。 A. 410 B. 600 C. 650 D. 700
选项
答案 A
解析 根据《建筑桩基技术规范》(JGJ 94—2008)第5.7.2条,由于桩身配筋率小于 0.65%,故按式(5.7. 2-1)计算单桩水平承载力特征值。 其中,圆形桩截面取ym=2,αh=0.301×20 =6.02>4,故取αh=4。由表5. 4.2可取vm=0. 768。则代入公式可得单桩水平承载力特征值为:

猜你喜欢

发表评论
更多 网友评论0 条评论)
暂无评论

访问排行

Copyright © 2012-2014 恰考网 Inc. 保留所有权利。 Powered by tikuer.com

页面耗时0.0445秒, 内存占用1.03 MB, Cache:redis,访问数据库19次