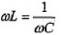
当RLC串联电路发生谐振时,一定有:(A)L=C(B)wL=wC(C)(D)UL+UC=0

作者: rantiku 人气: - 评论: 0
问题 当RLC串联电路发生谐振时,一定有: (A)L=C (B)wL=wC (C) (D)UL+UC=0
选项
答案 C
解析 RLC串联电路的阻抗发生串联谐振,则虚部为0

猜你喜欢

发表评论
更多 网友评论0 条评论)
暂无评论

访问排行

Copyright © 2012-2014 恰考网 Inc. 保留所有权利。 Powered by tikuer.com

页面耗时0.0395秒, 内存占用1.03 MB, Cache:redis,访问数据库20次