图示电路具有:(A)保持功能(B)置“0”功能(C)置“1”功能(D)计数功能

作者: rantiku 人气: - 评论: 0
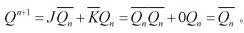
问题 图示电路具有: (A)保持功能 (B)置“0”功能 (C)置“1”功能 (D)计数功能
选项
答案 D
解析 状态方程如下:

猜你喜欢

发表评论
更多 网友评论0 条评论)
暂无评论

访问排行

Copyright © 2012-2014 恰考网 Inc. 保留所有权利。 Powered by tikuer.com

页面耗时0.0419秒, 内存占用1.03 MB, Cache:redis,访问数据库20次