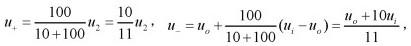
运算放大器应用电路如图所示,在运算放大器线性工作区,输出电压与输入电压之间的运算关系是:(A)u0=10(u1-u2)(B)u0=10(u2-...

作者: rantiku 人气: - 评论: 0
问题 运算放大器应用电路如图所示,在运算放大器线性工作区,输出电压与输入电压之间的运算关系是: (A)u0=10(u1-u2) (B)u0=10(u2-u1) (C)u0=-10u1+1u2 (D)u0=10u1-1u2
选项
答案 B
解析 又理想运放的“虚短”和“虚断”知因为u+ =u- 、所以u0=(10u2-u1)

猜你喜欢

发表评论
更多 网友评论0 条评论)
暂无评论

访问排行

Copyright © 2012-2014 恰考网 Inc. 保留所有权利。 Powered by tikuer.com

页面耗时0.0311秒, 内存占用1.03 MB, Cache:redis,访问数据库18次