χ 的分布函数 F(χ),而 F(χ)则 E(χ)等于:(A) 0.7 (B) 0.75(C) 0.6 (D) 0.8

作者: rantiku 人气: - 评论: 0
问题 χ 的分布函数 F(χ),而 F(χ)则 E(χ)等于: (A) 0.7 (B) 0.75 (C) 0.6 (D) 0.8
选项
答案 B
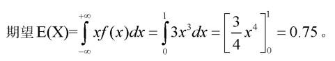
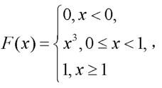
解析 先求概率密度f (χ),
  • 上一篇:
  • 下一篇:

猜你喜欢

发表评论
更多 网友评论0 条评论)
暂无评论

访问排行

Copyright © 2012-2014 恰考网 Inc. 保留所有权利。 Powered by tikuer.com

页面耗时0.0463秒, 内存占用1.03 MB, Cache:redis,访问数据库20次