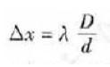
在双缝干涉实验中,两缝间距离为d,双缝与屏幕之间的距离办D(D?d)。波反为λ的平行单色光垂直照射到双缝上,屏幕上干涉条纹中相邻暗纹之间的距离是:

作者: rantiku 人气: - 评论: 0
问题 在双缝干涉实验中,两缝间距离为d,双缝与屏幕之间的距离办D(D?d)。波反为λ的平行单色光垂直照射到双缝上,屏幕上干涉条纹中相邻暗纹之间的距离是:
选项
答案 D
解析 概念题。 条纹间距(相邻两明纹或相邻两喑纹之间的距离)为显然,干涉条纹是等间距分布的。

猜你喜欢

发表评论
更多 网友评论0 条评论)
暂无评论

访问排行

Copyright © 2012-2014 恰考网 Inc. 保留所有权利。 Powered by tikuer.com

页面耗时0.0350秒, 内存占用1.03 MB, Cache:redis,访问数据库18次