如果两个偏振片堆叠在一起,且偏振化方向之间夹角为60°,.假设二者对光无吸收,光强为I0的自然光垂直入射到偏振片上,则出射光強为:

作者: rantiku 人气: - 评论: 0
问题 如果两个偏振片堆叠在一起,且偏振化方向之间夹角为60°,.假设二者对光无吸收,光强为I0的自然光垂直入射到偏振片上,则出射光強为:
选项
答案 A
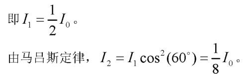
解析 第一个偏振片为起偏振器,自然光通过起偏振器后成为偏振光,光强为自然光强度的1/2,

猜你喜欢

发表评论
更多 网友评论0 条评论)
暂无评论

访问排行

Copyright © 2012-2014 恰考网 Inc. 保留所有权利。 Powered by tikuer.com

页面耗时0.0300秒, 内存占用1.03 MB, Cache:redis,访问数据库19次