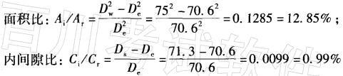
原状取土器外径Dw=75mm,内径Ds=71. 3mm,刃口内径De = 70. 6mm,取土器具有延伸至地面的活塞杆,按《岩土工程勘察规范》(GB 50...

作者: rantiku 人气: - 评论: 0
问题 原状取土器外径Dw=75mm,内径Ds=71. 3mm,刃口内径De = 70. 6mm,取土器具有延伸至地面的活塞杆,按《岩土工程勘察规范》(GB 50021 —2001)(2009年版)规定,该取土器为( )。 A.面积比为12.9%,内间隙比为0.52%的原壁取土器 B.面积比为12.9%,内间隙比为0.99%的固定活塞厚壁取土器 C.面积比为10.6%,内间嗥比为0.99%的固定活塞薄壁取土器 D.面积比为12.9%,内间隙比为0.99%的固定活塞薄壁取土器
选项
答案 D
解析 根据《岩土工程堪察规范》(GB 50021-2001) (2009年版)附录表F. 0. 1,该取土器参数为: 。 则各参数符合薄壁取土器中固定活塞取土器的要求。

猜你喜欢

发表评论
更多 网友评论0 条评论)
暂无评论

访问排行

Copyright © 2012-2014 恰考网 Inc. 保留所有权利。 Powered by tikuer.com

页面耗时0.0456秒, 内存占用1.03 MB, Cache:redis,访问数据库20次