某基础宽2.5m,埋深1.8m,承受轴心荷载作用。地表以下的土层为:(1)填土,厚 0. 6m, y = 18. 7kN/m3 ; (2)粉质黏土,厚1....

作者: rantiku 人气: - 评论: 0
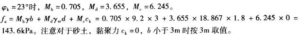
问题 某基础宽2.5m,埋深1.8m,承受轴心荷载作用。地表以下的土层为:(1)填土,厚 0. 6m, y = 18. 7kN/m3 ; (2)粉质黏土,厚1.0m,y = 18.9kN/m3 ; (3)细砂,y=19.2kN/m3,厚0.2m,φk=23°。地下水位在地表下1.8m。由公式计算持力层的地基承载力特征值最接近( )kPa。 A. 130 B. 134 C. 140 D. 144
选项
答案 D
解析 基础地面以上土的加权平均重度为: 根据《建筑地基基础设计规范》(GB 50007—2002)表5. 2. 5可知,

猜你喜欢

发表评论
更多 网友评论0 条评论)
暂无评论

访问排行

Copyright © 2012-2014 恰考网 Inc. 保留所有权利。 Powered by tikuer.com

页面耗时0.0455秒, 内存占用1.03 MB, Cache:redis,访问数据库20次