某均质土坝长1.2km,高20m,坝顶宽8m,坝底宽75m,要求压实度不小于0.95 ,天然料场中土料含水量为21,比重为2.70,重度为18kN/m3,...

作者: rantiku 人气: - 评论: 0
问题 某均质土坝长1.2km,高20m,坝顶宽8m,坝底宽75m,要求压实度不小于0.95 ,天然料场中土料含水量为21,比重为2.70,重度为18kN/m3,最大干密度为16.8kN/m3, 最优含水量为20,填筑该土坝需天然土料( )m3。 A. 9. 9×105 B. 10.7×105 C. 11.5×105 D. 12.6×105
选项
答案 B
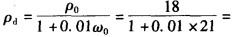
解析 土坝体积V=0. 5×(8 + 75)×20×1200 = 9. 96×105 m3,土料压实后的干重G = ηρdmaxV, G = 0. 95×16. 8×996000 = 15. 9×106kg。根据《土工试验方法标准》(GBT50123-1999)第5. 1. 5条计算,天然土料的干密度为

猜你喜欢

发表评论
更多 网友评论0 条评论)
暂无评论

访问排行

Copyright © 2012-2014 恰考网 Inc. 保留所有权利。 Powered by tikuer.com

页面耗时0.0291秒, 内存占用1.03 MB, Cache:redis,访问数据库20次