某基坑长30m,宽20m,场地中自0~ 15m为砂层,渗透系数为0.9m/d,地下水埋深为2.0m,要求基坑水位降至地表以下7.0m,基坑远离地表水体及隔...

作者: rantiku 人气: - 评论: 0
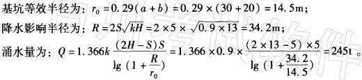
问题 某基坑长30m,宽20m,场地中自0~ 15m为砂层,渗透系数为0.9m/d,地下水埋深为2.0m,要求基坑水位降至地表以下7.0m,基坑远离地表水体及隔水边界,抽水井深15m,自2.0m以下为过滤器,根据《建筑基坑支护技术规程》(JGJ 120—1999),该基坑涌水量最接近于( )t。 A. 200 B. 219 C. 300 D. 345
选项
答案 B
解析 根据《建筑基坑支护技术规程》(JGJ 120—1999)附录F计算如下:

猜你喜欢

发表评论
更多 网友评论0 条评论)
暂无评论

访问排行

Copyright © 2012-2014 恰考网 Inc. 保留所有权利。 Powered by tikuer.com

页面耗时0.0413秒, 内存占用1.03 MB, Cache:redis,访问数据库18次