均匀土层上有一直径为10m的油罐,其基底平均压力为100kPa。已知油罐中心轴线上,在油罐基础底面以下10m处的附加应力系数为0.285。通过沉降观测得到...

作者: rantiku 人气: - 评论: 0
问题 均匀土层上有一直径为10m的油罐,其基底平均压力为100kPa。已知油罐中心轴线上,在油罐基础底面以下10m处的附加应力系数为0.285。通过沉降观测得到油罐中心的底板沉降为200mm,深度10m处的深层沉降为40mm,则10m范围内土层用近似方法估算的反算压缩模量最接近于下列哪个选项?( ) A. 2. 5MPa B. 4. 0MPa C. 3. 5MPa D. 5. 0MPa
选项
答案 B
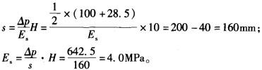
解析 圆形面积上均布荷载作用下中点附加应力系数α值为: 基底处:z/r=0,α= 1.00; 基底处附加应力σ0=p0α=100×1.0 =100kPa; 基底下10m 处:z/r = 10/5=2,α=0.285; 基底下 10m 处,附加应力σ1=P0α= 100×0.285 =28. 5kPa;

猜你喜欢

发表评论
更多 网友评论0 条评论)
暂无评论

访问排行

Copyright © 2012-2014 恰考网 Inc. 保留所有权利。 Powered by tikuer.com

页面耗时0.0452秒, 内存占用1.03 MB, Cache:redis,访问数据库20次