条形基础宽2m,基底埋深1.50m,地下水位在地面下1.50m,基础底面的设计荷载为350kN/m,地层厚度及有关的试验指标如表3-10所示。在软弱下卧层...

作者: rantiku 人气: - 评论: 0
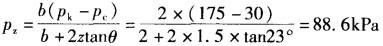
问题 条形基础宽2m,基底埋深1.50m,地下水位在地面下1.50m,基础底面的设计荷载为350kN/m,地层厚度及有关的试验指标如表3-10所示。在软弱下卧层验算时,若地基压力扩散角θ=23°。扩散到②层顶面的压力pz最接近( )kPa。 A. 89 B. 107 C. 196 D. 214
选项
答案 A
解析 根据《建筑地基基础设计规范》(GB 50007—2002)第5. 2. 7条计算如下:基础底面处自重应力为:pc=yh =20×1. 5 =30kPa;底面处实际压力为:pk = N/b = 350/2 = 175kPa;则条形基础下卧层顶面处的附加压力为:

猜你喜欢

发表评论
更多 网友评论0 条评论)
暂无评论

访问排行

Copyright © 2012-2014 恰考网 Inc. 保留所有权利。 Powered by tikuer.com

页面耗时0.0404秒, 内存占用1.03 MB, Cache:redis,访问数据库20次