某箱形基础底面尺寸为20m×45m,基础底面埋深d=4. 5m,地下水位在地面下2. 5m 处。地基土为均质粉土,黏粒含量13%,粉土的重度:地下水位以上...

作者: rantiku 人气: - 评论: 0
问题 某箱形基础底面尺寸为20m×45m,基础底面埋深d=4. 5m,地下水位在地面下2. 5m 处。地基土为均质粉土,黏粒含量13%,粉土的重度:地下水位以上y = 18.0kN/m3, 地下水位以下ysat=19.00kN/m3。由现场载荷试验确定出地基承载力特征值为:fak = 175kPa。上部结构传至箱形基础顶面的轴心荷载效应Fk= 130. 5MN。 为验算基础受冲切承载力,取用的最大冲切荷载Fl最接近( )kN。 A. 187 B. 252 C. 267 D. 281
选项
答案 B
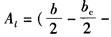
解析 根据《建筑地基基础设计规范》(GB 50007 — 2002)第5. 2. 7条,基础短边长度l=2.2m,柱截面的宽度和高度a=bc=0.4m。基础高度为h= 500mm,则基础有效高度h0 =0. 5 -0. 05 =0. 45m。由于l>a+2h0=0. 4+2×0.45 = 1. 3m,于是有:

猜你喜欢

发表评论
更多 网友评论0 条评论)
暂无评论

访问排行

Copyright © 2012-2014 恰考网 Inc. 保留所有权利。 Powered by tikuer.com

页面耗时0.0445秒, 内存占用1.03 MB, Cache:redis,访问数据库20次