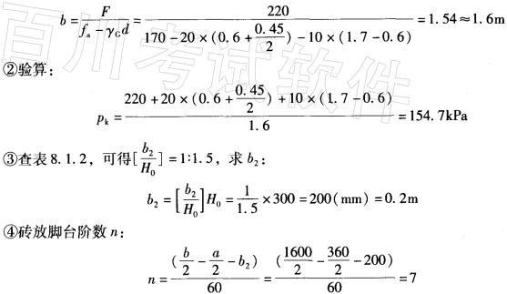
已知条形基础受轴心荷载F=220kN/m,基础埋深1.7m,室内外高差0.45m,地下水位位于地面以下0.6m处,修正后的地基承载力特征值170kPa,基...

作者: rantiku 人气: - 评论: 0
问题 已知条形基础受轴心荷载F=220kN/m,基础埋深1.7m,室内外高差0.45m,地下水位位于地面以下0.6m处,修正后的地基承载力特征值170kPa,基础底部采用灰土基础,H0=300mm,其上为砖基础,砖墙厚度为360mm,则按二一间隔收砌法需砖基础高度为( )m。 A: 0.22 B. 0.38 C. 0.54 D. 0. 66
选项
答案 D
解析 根据《建筑地基基础设计规范》(GB 50007 — 2002)第8. 1. 2条,计算如下: ①基础宽度b: 由砖基础采用二一间隔收砌法,其高度应该是11层砖,则: h= 11×60 = 660mm = 0. 66m。

猜你喜欢

发表评论
更多 网友评论0 条评论)
暂无评论

访问排行

Copyright © 2012-2014 恰考网 Inc. 保留所有权利。 Powered by tikuer.com

页面耗时0.0378秒, 内存占用1.03 MB, Cache:redis,访问数据库18次