某多层厂房柱子柱脚尺寸800mm×1000mm,采用无筋扩展基础按荷载效应的标准组合计算,传至±0.0处的竖向力为Fk =600kN,力矩Mk =160k...

作者: rantiku 人气: - 评论: 0
问题 某多层厂房柱子柱脚尺寸800mm×1000mm,采用无筋扩展基础按荷载效应的标准组合计算,传至±0.0处的竖向力为Fk =600kN,力矩Mk =160kN·m,水平力Hk=35kN。 基底面积为2m×2. 6m,设计基础埋深1. 5m。基础材料采用C15混凝土。 (1)基础最小高度最接近( )m。 A. 0.6 B.0.75 C. 0.8 D. 1.0 .
选项
答案 C
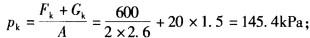
解析 根据《建筑地基基础设计规范》(GB 50007—2002)第5. 2.2条进行基底压力计算,轴心荷载下, 基础底面处,

猜你喜欢

发表评论
更多 网友评论0 条评论)
暂无评论

访问排行

Copyright © 2012-2014 恰考网 Inc. 保留所有权利。 Powered by tikuer.com

页面耗时0.0567秒, 内存占用1.03 MB, Cache:redis,访问数据库20次