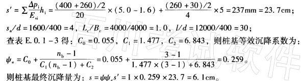
某桩基工程的桩型平面布置、剖面及地层分布如图4-16所示,作用于桩端平面处的有效附加应力为400kPa,其中心点的附加压力曲线如图4 - 16 ( b)所...

作者: rantiku 人气: - 评论: 0
问题 某桩基工程的桩型平面布置、剖面及地层分布如图4-16所示,作用于桩端平面处的有效附加应力为400kPa,其中心点的附加压力曲线如图4 - 16 ( b)所示(假定为直线分布),沉降经验系数ψ= 1.0,地基沉降计算深度至基岩面,请按《建筑桩基技术规范》 (JGJ 94—2008)验算桩基最终沉降量,其计算结果最接近( )cm。 A. 3.6 B. 6. 1 C. 7.9 D. 8.6
选项
答案 B
解析 根据《建筑桩基技术规范》(JGJ 94-2008)第5. 5. 6 ~ 5. 5. 9条及附录E,对于桩中心距小于或等于6倍桩径的桩基,其最终沉降量计算可采用等效作用分层总和法,则按分层总和法计算出的桩基沉降量为:

猜你喜欢

发表评论
更多 网友评论0 条评论)
暂无评论

访问排行

Copyright © 2012-2014 恰考网 Inc. 保留所有权利。 Powered by tikuer.com

页面耗时0.0456秒, 内存占用1.03 MB, Cache:redis,访问数据库20次