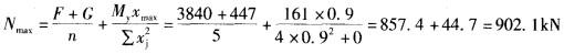
某框架柱采用桩基础,承台下5根Φ=600mm的钻孔灌注桩,桩长l=15m,如图4-18 所示,承台顶处柱竖向轴力F = 3840kN,My=161kN·m...

作者: rantiku 人气: - 评论: 0
问题 某框架柱采用桩基础,承台下5根Φ=600mm的钻孔灌注桩,桩长l=15m,如图4-18 所示,承台顶处柱竖向轴力F = 3840kN,My=161kN·m,承台及其上覆土自重设计值 G=447kN,基桩最大竖向力Nmax为( )kN。 A. 831 B. 858 C. 886 D. 902
选项
答案 D
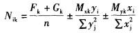
解析 根据《建筑桩基技术规范》(JGJ 94—2008)第5. 1. 1条,偏心竖向力作用下,基桩竖向力按下式计算: 式中,Fk表示作用于桩基承台顶面的竖向力;Gk表示桩基承台的自重标准值;Mxk、 Myk表示承台底面的弯矩;Nik表示单桩桩顶竖向力;xi、yi表示第i复合基桩或基桩至x、y轴的距离;n表示桩基中的桩数。则竖向力最大值为:

猜你喜欢

发表评论
更多 网友评论0 条评论)
暂无评论

访问排行

Copyright © 2012-2014 恰考网 Inc. 保留所有权利。 Powered by tikuer.com

页面耗时0.0377秒, 内存占用1.03 MB, Cache:redis,访问数据库20次