某工程承台埋深1.5m,下设钢管桩直径700mm,壁厚10mm,桩长26.5m,桩端带隔板开口桩,n=2。土层分布情况为:0~3.0m填土,桩侧极限侧阻力...

作者: rantiku 人气: - 评论: 0
问题 某工程承台埋深1.5m,下设钢管桩直径700mm,壁厚10mm,桩长26.5m,桩端带隔板开口桩,n=2。土层分布情况为:0~3.0m填土,桩侧极限侧阻力标准值qsk=25kPa; 3.0~8.5m 黏土层,qsk =50kPa; 8. 5 ~25.0m 粉土层,qsk =65kPa; 25. 0 ~ 30.0m 中砂, qsk =75kPa; qpk =7000kPa,计算此钢管桩的竖向极限承载力为( )kN。 A. 3582 B. 4618 C. 5448 D. 5693
选项
答案 D
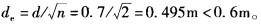
解析 根据《建筑桩基技术规范》(JGJ 94—2008)第5. 3. 7条计算,开口管桩的单桩极限承载力的计算公式为: Quk =Qsk+QPk = u∑qsikli + λpqpkAp 式中,u为桩身周长;Ap为桩端面积。 对于带隔板的钢管桩,以等效直径dc代替d以确定λp。 由题计算可得等效直径为: 由于是带隔板的开口桩,应以等效直径代替d确定λp,则hb/d= 3. 0/0. 495 =6.061>5,所以取λp =0.8。将已知的数据代入上式得此钢管桩的竖向极限承载力为:

猜你喜欢

发表评论
更多 网友评论0 条评论)
暂无评论

访问排行

Copyright © 2012-2014 恰考网 Inc. 保留所有权利。 Powered by tikuer.com

页面耗时0.0425秒, 内存占用1.03 MB, Cache:redis,访问数据库20次