某高层住宅筏形基础,基底埋深7m,基底以上土的天然重度为20kN/m3,天然地基承载力特征值为180kPa。采用水泥粉煤灰碎石(CFG)桩复合地基,现场试...

作者: rantiku 人气: - 评论: 0
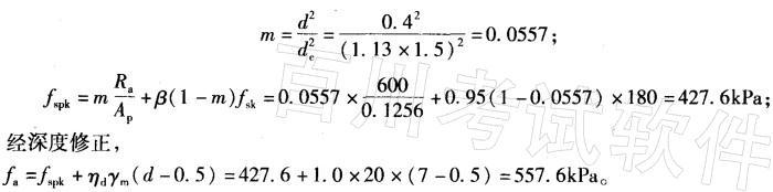
问题 某高层住宅筏形基础,基底埋深7m,基底以上土的天然重度为20kN/m3,天然地基承载力特征值为180kPa。采用水泥粉煤灰碎石(CFG)桩复合地基,现场试验测得单桩承载力特征值为600kN。正方形布桩,桩径400mm,桩间距为1.5m×1.5m,桩问土承载力折减系数β取0.95,试问该建筑物的基底压力不应超过下列哪个选项的数值?( ) A. 428kPa B. 558kPa C. 623kPa D. 641kPa
选项
答案 B
解析 根据《建筑地基处理技术规范》(JGJ 79—2002)第7. 2. 8条, de = 1. 13s= 1. 13×1. 5 = 1. 695 m ; 根据第9. 2. 5条计算:

猜你喜欢

发表评论
更多 网友评论0 条评论)
暂无评论

访问排行

Copyright © 2012-2014 恰考网 Inc. 保留所有权利。 Powered by tikuer.com

页面耗时0.0357秒, 内存占用1.03 MB, Cache:redis,访问数据库20次