采用单液硅化法加固拟建设备基础的地基,设备基础的平面尺寸为3m×4m,需加固的自重湿陷性黄土层厚6m, 土体初始孔隙比为1. 0。假设硅酸钠溶液的相对密度...

作者: rantiku 人气: - 评论: 0
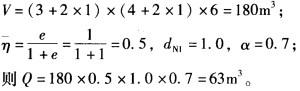
问题 采用单液硅化法加固拟建设备基础的地基,设备基础的平面尺寸为3m×4m,需加固的自重湿陷性黄土层厚6m, 土体初始孔隙比为1. 0。假设硅酸钠溶液的相对密度为1. 00,溶液的填充系数为0.70,问所需硅酸钠溶液用量(m3)最接近下列哪个选项的数值?( ) A. 30 B. 50 C. 65 D. 100
选项
答案 C
解析 根据《建筑地基处理技术规范》(JGJ79—2002)第16. 2. 2条和第16. 2. 4条: 式中,Q——硅酸钠溶液用量; V——拟加湿陷性黄土体积; ——加固前,土平均孔隙率; dN1——硅酸钠溶液相对密度; α——溶液填充系数。 当加固设备基础地基时,加固范围应超出基础底面外缘不少于1.0m。

猜你喜欢

发表评论
更多 网友评论0 条评论)
暂无评论

访问排行

Copyright © 2012-2014 恰考网 Inc. 保留所有权利。 Powered by tikuer.com

页面耗时0.0442秒, 内存占用1.03 MB, Cache:redis,访问数据库20次