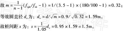
某炼油厂建筑场地,地基土为山前洪坡积砂土,地基土天然承载力特征值为100kPa,设计要求地基承载力特征值为180kPa,采用振冲碎石桩处理,桩径为0.9m...

作者: rantiku 人气: - 评论: 0
问题 某炼油厂建筑场地,地基土为山前洪坡积砂土,地基土天然承载力特征值为100kPa,设计要求地基承载力特征值为180kPa,采用振冲碎石桩处理,桩径为0.9m,按正三角形布桩,桩土应力比为3. 5,问桩间距宜为( )m。 A. 1.2 B. 1.5 C. 1.8 D. 2. 1
选项
答案 B
解析 根据《建筑地基处理技术规范》(JGJ 79—2002)第7. 2. 8条,碎石桩面积置换率 m 的计算公式为: fspk = [ 1 + m(n- 1) ]fsk。

猜你喜欢

发表评论
更多 网友评论0 条评论)
暂无评论

访问排行

Copyright © 2012-2014 恰考网 Inc. 保留所有权利。 Powered by tikuer.com

页面耗时0.0491秒, 内存占用1.03 MB, Cache:redis,访问数据库20次