一软土层厚8.0m,压缩模量Es=1.5MPa,其下为硬黏土层,地下水位与软土层顶面一致,现在软土层上铺1.0m厚的砂土层,砂层重度y= 18kN/m3,...

作者: rantiku 人气: - 评论: 0
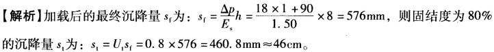
问题 一软土层厚8.0m,压缩模量Es=1.5MPa,其下为硬黏土层,地下水位与软土层顶面一致,现在软土层上铺1.0m厚的砂土层,砂层重度y= 18kN/m3,软土层中打砂井穿透软土层,再采用90kPa压力进行真空预压固结,使固结度达到80%,此时已完成的固结沉降量最接近下列( )cm。 A. 40 B. 46 C. 52 D. 58
选项
答案 B
解析

猜你喜欢

发表评论
更多 网友评论0 条评论)
暂无评论

访问排行

Copyright © 2012-2014 恰考网 Inc. 保留所有权利。 Powered by tikuer.com

页面耗时0.0600秒, 内存占用1.03 MB, Cache:redis,访问数据库20次