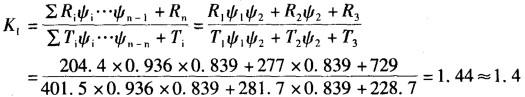
已知某折线形滑面边坡的资料(见表6-1),求该边坡滑动稳定性系数为( )。A. 1.0 B. 1.4 C. 1.8 D. 2. 1

作者: rantiku 人气: - 评论: 0
问题 已知某折线形滑面边坡的资料(见表6-1),求该边坡滑动稳定性系数为( )。 A. 1.0 B. 1.4 C. 1.8 D. 2. 1
选项
答案 B
解析 根据《建筑边坡工程技术规范》(GB 50330-2002)第5. 2. 5条, 传递系数: ψ1=cos(θ1-θ2) - sin(θ1-θ2)tanφ2 = cos(35°-28°) - sin(35°-28°)× tan25°=0. 936 ; ψ2 =cos (θ2-θ3 )-sin(θ2 -θ3)tanφ3 = cos(28°- 12°) - sin(28°- 12°)×tan24°=0. 839 ; 则边坡滑动稳定性系数为:

猜你喜欢

发表评论
更多 网友评论0 条评论)
暂无评论

访问排行

Copyright © 2012-2014 恰考网 Inc. 保留所有权利。 Powered by tikuer.com

页面耗时0.0448秒, 内存占用1.03 MB, Cache:redis,访问数据库18次