基坑开挖深度为6m, 土层依次为人工填土、黏土和砾砂,如图7-7所示。黏土层,y = 19.0kN/m3, c=20kPa,φ=20°。砂层中承压水水头高...

作者: rantiku 人气: - 评论: 0
问题 基坑开挖深度为6m, 土层依次为人工填土、黏土和砾砂,如图7-7所示。黏土层,y = 19.0kN/m3, c=20kPa,φ=20°。砂层中承压水水头高度为9m。基坑底至含砾粗砂层顶面的距离为4m。抗突涌安全系数取1.20,为满足抗承压水突涌稳定性要求,场地承压水最小降深最接近于下列哪个选项?( ) A. 1.4m B. 2. 1m C. 2. 7m D. 4.0m
选项
答案 C
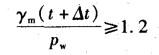
解析 根据《建筑地基基础设计规范》(GB 50007-2002)附录W第W. 0. 1条,当上部为不透水层,坑底某深度处有承压水时,坑底抗渗流稳定性

猜你喜欢

发表评论
更多 网友评论0 条评论)
暂无评论

访问排行

Copyright © 2012-2014 恰考网 Inc. 保留所有权利。 Powered by tikuer.com

页面耗时0.0421秒, 内存占用1.03 MB, Cache:redis,访问数据库20次