有一宽6.0m,高5.0m隧道位于松散岩体中,围岩等效摩擦角为40°,重度为22kN/m3,按塌落拱理论计算。(1)均布垂直荷载为( )kPa。A...

作者: rantiku 人气: - 评论: 0
问题 有一宽6.0m,高5.0m隧道位于松散岩体中,围岩等效摩擦角为40°,重度为22kN/m3,按塌落拱理论计算。 (1)均布垂直荷载为( )kPa。 A. 120 B. 140 C. 160 D. 180
选项
答案 B
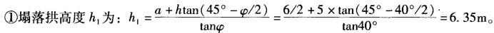
解析 可按塌落拱理论计算,具体分析如下: 式中,a为隧道的半宽;φ为等效摩擦角;h为隧道的高度。 ②均布垂直荷载q为:q=y·h1=22×6.35=139.7kPa。式中,y为围岩重度。 故该隧道围岩均布垂直荷载为139. 7kPa。

猜你喜欢

发表评论
更多 网友评论0 条评论)
暂无评论

访问排行

Copyright © 2012-2014 恰考网 Inc. 保留所有权利。 Powered by tikuer.com

页面耗时0.0366秒, 内存占用1.03 MB, Cache:redis,访问数据库20次