图9-2所示为某工程场地钻孔剪切波速测试的结果,据此计算确定场地土层的等效剪切波速和该场地的类别。试问下列哪个选项的组合是正确的?( )A. 17...

作者: rantiku 人气: - 评论: 0
问题 图9-2所示为某工程场地钻孔剪切波速测试的结果,据此计算确定场地土层的等效剪切波速和该场地的类别。试问下列哪个选项的组合是正确的?( ) A. 173m/s,I 类 B. 261m/s, II 类 C. 192m/s,III类 D. 290m/s,IV类
选项
答案 B
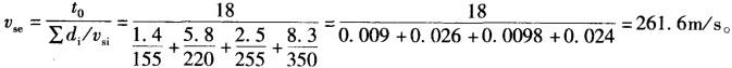
解析 根据《建筑抗震设计规范》(GB 50011 —2010)第4. 1.4条第1款,可知覆盖层厚度为18m;根据式(4.1. 5-1)及式(4. 1.5-2),有: 根据表4.1.6,场地类别为II类。

猜你喜欢

发表评论
更多 网友评论0 条评论)
暂无评论

访问排行

Copyright © 2012-2014 恰考网 Inc. 保留所有权利。 Powered by tikuer.com

页面耗时0.0305秒, 内存占用1.03 MB, Cache:redis,访问数据库19次