某8层建筑物高24m,筏板基础宽12m,长50m,地基土为中密~密实细砂,深宽修正后的地基承载力特征值fa=250kPa,如图9-3所示。按《建筑抗震设计...

作者: rantiku 人气: - 评论: 0
问题 某8层建筑物高24m,筏板基础宽12m,长50m,地基土为中密~密实细砂,深宽修正后的地基承载力特征值fa=250kPa,如图9-3所示。按《建筑抗震设计规范》(GB50011 —2010)验算天然地基抗震竖向承载力。问在容许最大偏心距(短边方向)的情况下,按地震作用效应标准组合的建筑物总竖向作用力应不大于下列哪个选项的数值?( ) A. 76500kN B. 99450kN C. 117000kN D. 195000kN
选项
答案 B
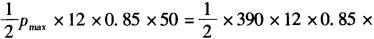
解析 根据《建筑抗震设计规范》(GB 50011 —2010)表4.2.3及式(4.2.3),faH=ζafa; 查表4.2.3,ζa=1.3; 地基抗震承载力:faE=ζafa=1.3×250=325kPa; 根据式(4. 2.4-2),pmax≤1.2faE =1.2×325=390kPa; 根据第4.2.4条,H/6=24/12=2,基底面与地基土之间零应力区面积不应超过基底面面积的15% ;竖向力=基底压力×面积=

猜你喜欢

发表评论
更多 网友评论0 条评论)
暂无评论

访问排行

Copyright © 2012-2014 恰考网 Inc. 保留所有权利。 Powered by tikuer.com

页面耗时0.0341秒, 内存占用1.03 MB, Cache:redis,访问数据库19次