有一重力式挡土墙,墙背垂直光滑,填土面水平,地表荷载q=49.4kPa,无地下水,拟使用两种墙后填土,一种是黏土c1=20kPa、φ1=12°、γ1 = ...

作者: rantiku 人气: - 评论: 0
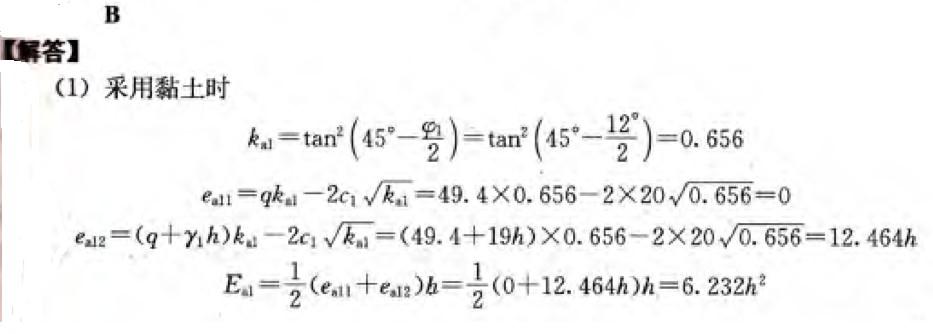
问题 有一重力式挡土墙,墙背垂直光滑,填土面水平,地表荷载q=49.4kPa,无地下水,拟使用两种墙后填土,一种是黏土c1=20kPa、φ1=12°、γ1 = 19kN/m3,另一种是 砂土c2=0、φ2=30°、γ2=21kN/m3。问当采用黏上填料和砂上填料的墙背总主动土压力 两者基本相等时,墙高H最近下列哪个选项? (A) 4.0m (B) 6.0m(C) 8.0m (D) 10.0 m
选项
答案 B
解析

猜你喜欢

发表评论
更多 网友评论0 条评论)
暂无评论

访问排行

Copyright © 2012-2014 恰考网 Inc. 保留所有权利。 Powered by tikuer.com

页面耗时0.0368秒, 内存占用1.03 MB, Cache:redis,访问数据库18次