某建筑浆砌石挡土墙重度22kN/m3,墙高6m,底宽2.5m,顶宽lm,墙后填料重度l9kN/m3,黏聚力20kPa,内摩擦角15°,忽略墙背与填土的摩阻...

作者: rantiku 人气: - 评论: 0
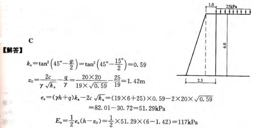
问题 某建筑浆砌石挡土墙重度22kN/m3,墙高6m,底宽2.5m,顶宽lm,墙后填料重度l9kN/m3,黏聚力20kPa,内摩擦角15°,忽略墙背与填土的摩阻力,地表均布荷载25kPa。问该挡土墙的抗傾覆稳定安全系数最近接近下列哪个选项? (A) 1.5 (B) 1.8 (C) 2.0 (D) 2.2
选项
答案 C
解析

猜你喜欢

发表评论
更多 网友评论0 条评论)
暂无评论

访问排行

Copyright © 2012-2014 恰考网 Inc. 保留所有权利。 Powered by tikuer.com

页面耗时0.0426秒, 内存占用1.03 MB, Cache:redis,访问数据库20次