某工业厂房场地浅表为耕植土,厚0.50m ;其下为淤泥质粉质粘土,厚约18. 0m,承载力特征值fak=70kPa,水泥搅拌桩侧阻力特征值取9kPa。下伏...

作者: rantiku 人气: - 评论: 0
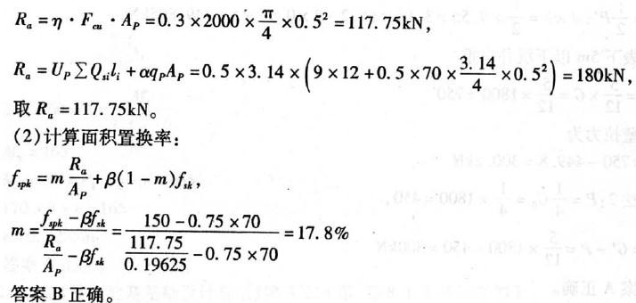
问题 某工业厂房场地浅表为耕植土,厚0.50m ;其下为淤泥质粉质粘土,厚约18. 0m,承载力特征值fak=70kPa,水泥搅拌桩侧阻力特征值取9kPa。下伏厚层密实粉细砂层。采用水泥搅拌桩加固,要求复合地基承载力特征值达150kPa。假设有效桩长12. 00m,桩径中500,桩身强度折减系数η取0. 30,桩端天然地基土承载力折减系数a取0. 50,水泥加固土试块90天龄期立方体抗压强度平均值为2. 0MPa,桩间土承载力折减系数β取0. 75。试问初步设计复合地基面积置换率将最接近下列哪个选项的数值? A. 13% B. 18% C.21% D.25%
选项
答案 B
解析 据《建筑地基处理技术规范》,第11. 2.4条和第9. 2. 5条计算如下。 (1)确定单桩承载力:

猜你喜欢

发表评论
更多 网友评论0 条评论)
暂无评论

访问排行

Copyright © 2012-2014 恰考网 Inc. 保留所有权利。 Powered by tikuer.com

页面耗时0.0358秒, 内存占用1.03 MB, Cache:redis,访问数据库20次