某砂土地基,土体天然孔隙比e0=0.902,最大孔隙比emax=0.978,最小孔隙比emin=0.742,该地基拟采用挤密碎石桩加固,按等边三角形布桩,...

作者: rantiku 人气: - 评论: 0
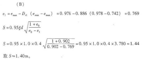
问题 某砂土地基,土体天然孔隙比e0=0.902,最大孔隙比emax=0.978,最小孔隙比emin=0.742,该地基拟采用挤密碎石桩加固,按等边三角形布桩,挤密后要求砂土相对密实度Dr=0.886,为满足此要求,碎石桩距离应接近下列哪个数值?(修正系数ξ取1.0,碎石桩直径取0.40m) (A) 1.2m (B) 1.4m (C) 1.6m (D) 1.8m
选项
答案 B
解析

猜你喜欢

发表评论
更多 网友评论0 条评论)
暂无评论

访问排行

Copyright © 2012-2014 恰考网 Inc. 保留所有权利。 Powered by tikuer.com

页面耗时0.0377秒, 内存占用1.03 MB, Cache:redis,访问数据库19次