某厂房地基为淤泥土,采用搅拌桩复合地基加固、桩长15.0m、穿越该淤泥土,搅拌桩 复合土层顶面和底面附加压力分别为80kPa和15kPa,桩间土压缩模量为...

作者: rantiku 人气: - 评论: 0
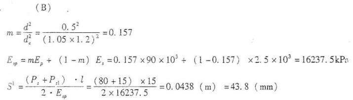
问题 某厂房地基为淤泥土,采用搅拌桩复合地基加固、桩长15.0m、穿越该淤泥土,搅拌桩 复合土层顶面和底面附加压力分别为80kPa和15kPa,桩间土压缩模量为2.5MPa,搅拌桩桩体压缩模量为90MPa,搅拌桩直径为500mm,桩间距为1.2m,等边三角形布置,按《建筑地基处理技术规范》(JGJ79-2002)计算,该搅拌桩复合土层的压縮变形s1最接近以下哪个选项的数值? (A) 25 mm (B) 45 mm (C) 65 mm (D) 85 mm
选项
答案 B
解析
发表评论
更多 网友评论0 条评论)
暂无评论

访问排行

Copyright © 2012-2014 恰考网 Inc. 保留所有权利。 Powered by tikuer.com

页面耗时0.0276秒, 内存占用1.03 MB, Cache:redis,访问数据库18次