10m厚的粘土层下为含承压水的砂土层,承压水头高4m,拟开挖5m深的基坑,重要性系数γ0=1.0。使用水泥土墙支护,水泥土重度为20kN/m3,墙总高10...

作者: rantiku 人气: - 评论: 0
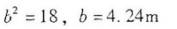
问题 10m厚的粘土层下为含承压水的砂土层,承压水头高4m,拟开挖5m深的基坑,重要性系数γ0=1.0。使用水泥土墙支护,水泥土重度为20kN/m3,墙总高10m。已知每延米墙后的总主动土压力为800kN/m,作用点距墙底4m;墙前总被动土压力为1200kN/m,作用点距墙底2m。如果将水泥土墙受到的扬压力从自重中扣除,计算满足抗倾覆安全系数为1.2条件下的水泥土墙最小墙厚最接近下列哪一个选项?
选项
答案 D
解析

猜你喜欢

发表评论
更多 网友评论0 条评论)
暂无评论

访问排行

Copyright © 2012-2014 恰考网 Inc. 保留所有权利。 Powered by tikuer.com

页面耗时0.0386秒, 内存占用1.03 MB, Cache:redis,访问数据库18次