某场地地基土层构成为:第一层为粘土,厚度为5.0m,fak=100kPa,qs=20kPa,qp= 150kPa;第二层粉质粘土,厚度为12.0m,f...

作者: rantiku 人气: - 评论: 0
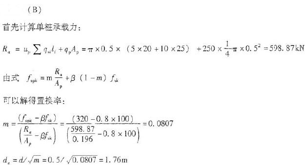
问题 某场地地基土层构成为:第一层为粘土,厚度为5.0m,fak=100kPa,qs=20kPa,qp= 150kPa;第二层粉质粘土,厚度为12.0m, fak=120kPa,qs=25kPa,qp= 250kPa;无软弱下卧层。采用低强度砼桩复合地基进行加固,桩径为0.5m,桩长15m,要求复合地基承载力特征值fspk=320kPa,若采用正三角形布置,则采用下列哪个桩间距趿为合适?(桩间土承载力折减系数β取0.8) (A) 1.50m (B) 1.70m (C) 1.90m (D) 2. 30m
选项
答案 B
解析 s=de/1. 05 = 1. 68

猜你喜欢

发表评论
更多 网友评论0 条评论)
暂无评论

访问排行

Copyright © 2012-2014 恰考网 Inc. 保留所有权利。 Powered by tikuer.com

页面耗时0.0443秒, 内存占用1.03 MB, Cache:redis,访问数据库20次