甲、乙二人进行跑步比赛同时从起点出发后,当甲跑了全赛程的3/8时,乙跑了全赛程的1/3,以后甲的速度不变,乙提高了速度,结果两人同时到达了终点,问后来乙的...

作者: rantiku 人气: - 评论: 0
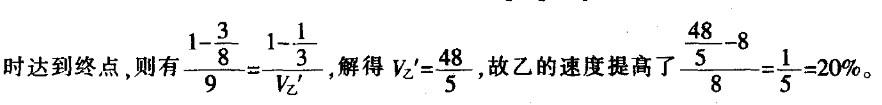
问题 甲、乙二人进行跑步比赛同时从起点出发后,当甲跑了全赛程的3/8时,乙跑了全赛程的1/3,以后甲的速度不变,乙提高了速度,结果两人同时到达了终点,问后来乙的速度提髙了多少? a.12% b. 15% c. 18% d.20%
选项
答案 D
解析

猜你喜欢

发表评论
更多 网友评论0 条评论)
暂无评论

访问排行

Copyright © 2012-2014 恰考网 Inc. 保留所有权利。 Powered by tikuer.com

页面耗时0.0339秒, 内存占用1.03 MB, Cache:redis,访问数据库17次