某市计划测制本地区的1:2 000比例尺的地形图,前期工作是对本地区进行航空摄影。 摄区东西长132 km,南北长112 km,为一矩形区域,总...

作者: tihaiku 人气: - 评论: 0
问题

某市计划测制本地区的1:2 000比例尺的地形图,前期工作是对本地区进行航空摄影。

摄区东西长132 km,南北长112 km,为一矩形区域,总面积为14 784 km2。全测区包含平地和丘陵地两种地形,其中绝大多数是平地,约占整个测区80%的面积,主要位于测区南部的大部分地区;测区内有少量丘陵地区,主要集中在测区的北部,其面积约占整个测区面积的20%;海拔高度平地最低点为52 m,最高海拔为345 m。测区内低点平均高程为75 m,高点平均高程为234 m。

航空摄影基本技术要求如下。

1.航空摄影采用传统的航空摄影方式,航摄仪型号为RC—30,像幅为23 cm*23 cm,航摄仪焦距为152 mm,影像扫描分辨率为0.02 mm,像片类型为真彩色。

2.航摄比例尺为1:20 000。

3.航向重叠要求为65%,最小不得小于60%;旁向重叠要求为35%,最小不得小于25%。

4.航线敷设按常规的东西向敷设;航向覆盖超出测区边界线不少于2条基线,旁向覆盖超出测区边界线不少于像幅的50%。

5.采用CPS导航,按设计坐标曝光,不敷设构架航线。 问题

(1)航空摄影项目包括哪些内容?

(2)航空摄影技术设计书包括哪些内容?

(3)航摄分区的原则是什么?

(4)航摄项目应提交哪些资料?

(5)根据案例计算以下摄影参数:摄影基准面,相对航高、绝对航高,摄区最高点和最低点重叠度,航摄分区数,摄区航线条数、每条航线像片数。

选项
答案
解析

(1)(参见7.2考点1)

测绘航空摄影项目主要包括航摄空域申请、编写航空摄影技术设计书、航摄比例尺的选择、航摄分区的划分、航摄基本参数计算(航摄因子计算)、航摄季节和航摄时间的选择、航摄仪的选择与检定、航空胶片的选择和测定、航空摄影、航空摄影影像处理、成果质量检查和成果整理与验收。

(2)(参见7.2考点3)

航空摄影技术设计书包括任务来源、摄区概况、主要技术依据、技术设计、实施方案、质量控制与保障、成果整理和提交成果资料等内容。

(3)航摄分区的原则如下(参见7.2考点6)。

①分区的界线应与测图的图廓线一致。

②当航摄比例尺小于1:7 000时,分区内的地形高差不应大于相对航高的1/4(以分区的平均高度平面为摄影基准面的航高);当航摄比例尺大于或等于1:7 000时,分区内的地形高差不应大于相对航高的1/6。分区内的地形高差(△H)=h高平均-h低平均

③在地形高差符合相关规定时,且能够确保航线的直线性的前提下,分区的跨度应尽量划大。

④当地面高差突变,地形特征差别显著或有特殊要求时,可以破图廓线划分航摄分区。

(4)航摄项目需要移交的资料主要包括(参见7.2考点9):

①摄区范围图(摄区略图);

②摄区航线、像片结合图;

③航摄底片、晒印的像片、航片索引图和像片:

④航摄仪检定记录和数据;

⑤航摄底片压平质量检测数据表;

⑥航摄底片密度抽样测定数据表;

⑦附属仪器记录数据和相关资料;

⑧成果质量检查报告、航摄鉴定表;

⑨有关的登记表和移交清单;

⑩合同规定的其他资料等;

⑧验收报告。

(5)计算方法和结果如下。

①摄影基准面。

h=(h高平均+h低平均)/2=(234+75)/2=154.5m

②相对航高、绝对航高。

H=m *f =20 000*152.4 *0. 001 =3 048 m

H =H + h=3 048 +154.5 =3 202.5 m

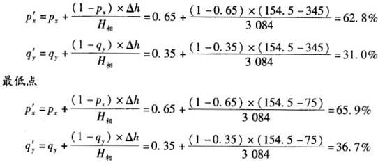
③摄区最高点和最低点重叠度。

最高点

④航摄分区数。

该区的高差为345 -52 =293 m,小于相对航高3 048的1/4,该区只需一个摄区。

⑤摄区航线条数、每条航线像片数。

基线长度

Bx =Lx(1 -px )*m=230*(1-0. 65)*20 =1 610 m

航线间隔

Dy =Ly(1-qy) *m=230*(1-0. 35) *20 =2 990 m

分区航线条数=分区宽度/Dy =112000/2990=38条

每条航线像片数=INT(每条航线长度/ Bx +1)+1=INT(132000/1610+1)+1=83张

分区像片数=

相关内容:计划,测制,比例尺,地形图,前期,工作,航空,摄影,摄区,东西,南北,矩形,区域

猜你喜欢

发表评论
更多 网友评论0 条评论)
暂无评论

访问排行

Copyright © 2012-2014 恰考网 Inc. 保留所有权利。 Powered by tikuer.com

页面耗时0.0395秒, 内存占用1.06 MB, Cache:redis,访问数据库20次