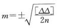
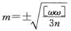
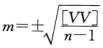
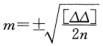
下列公式中,由两次重复测量较差计算单次测量中误差的公式是()。A: B: C: D:

作者: tihaiku 人气: - 评论: 0
问题 下列公式中,由两次重复测量较差计算单次测量中误差的公式是()。
选项 A: B: C: D:
答案 D
解析 按《测绘成果质量检查与验收》(GB/T24356-2009)4.3.6条款规定,同精度重复测量时,中误差按下式计算:

本题中,选项A中公式适用于用改正数求观测值中误差;选项B中公式为费列罗公式,用于据三角形闭合差ω计算测角中误差;选项C中公式为中误差的定义式,用于用真误差计算观测值中误差的情况。故选D。

相关内容:公式,测量,误差

猜你喜欢

发表评论
更多 网友评论0 条评论)
暂无评论

Copyright © 2012-2014 恰考网 Inc. 保留所有权利。 Powered by tikuer.com

页面耗时0.0384秒, 内存占用1.05 MB, Cache:redis,访问数据库19次