在环比增长速度时间序列中,由于各期的基数不同,运用速度指标反映现象增长的快慢时,往往需要结合()这一指标分析才能得出正确的结论。A:报告期水平B:增长...

作者: rantiku 人气: - 评论: 0
问题 在环比增长速度时间序列中,由于各期的基数不同,运用速度指标反映现象增长的快慢时,往往需要结合()这一指标分析才能得出正确的结论。
选项 A:报告期水平 B:增长1%的绝对值 C:累计增长量 D:平均增长量
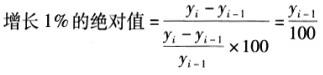
答案 B
解析 增长1%的绝对值=逐期增长量/环比增长速度,用符号表示为:

猜你喜欢

发表评论
更多 网友评论0 条评论)
暂无评论

访问排行

Copyright © 2012-2014 恰考网 Inc. 保留所有权利。 Powered by tikuer.com

页面耗时0.0341秒, 内存占用1.03 MB, Cache:redis,访问数据库15次