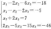
方程组的解为( )。A、x1=-18,x2=0,x3=0 B、x1=0,x2=0,x3=3 C、x1=2,x2=1,x3=3 D、x1=0,x...

作者: rantiku 人气: - 评论: 0
问题 方程组的解为( )。
选项 A、x1=-18,x2=0,x3=0 B、x1=0,x2=0,x3=3 C、x1=2,x2=1,x3=3 D、x1=0,x2=6,x3=0
答案 C
解析 经验证,(C)是方程组的解,或对增广矩阵进行初等行变换,增广矩阵 可见方程组的解为x3=3,x2=1,x1=2

猜你喜欢

发表评论
更多 网友评论0 条评论)
暂无评论

Copyright © 2012-2014 恰考网 Inc. 保留所有权利。 Powered by tikuer.com

页面耗时0.0426秒, 内存占用1.01 MB, Cache:redis,访问数据库20次