某商品2000~2004年成本(单位:元)如下:该商品2000~2004年成本的平均增长量为()。A:5B:1C:5/4D:2

作者: rantiku 人气: - 评论: 0
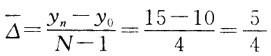
问题 某商品2000~2004年成本(单位:元)如下: 该商品2000~2004年成本的平均增长量为()。
选项 A:5 B:1 C:5/4 D:2
答案 C
解析 本题考查平均增长量的计算。可以采用,因此选C。

猜你喜欢

发表评论
更多 网友评论0 条评论)
暂无评论

访问排行

Copyright © 2012-2014 恰考网 Inc. 保留所有权利。 Powered by tikuer.com

页面耗时0.0795秒, 内存占用1.03 MB, Cache:redis,访问数据库20次